Naboj S&B 308 Win Blue TXRG - 10,7g/165gr
Sodobna, zelo učinkovita zasnova, ki vključuje bazo v obliki "boat tail-a" z novo, koničasto konico za ravno trajektorijo in maksimalno zadržano energijo.
Modra plastična konica poveča raztezanje na vseh razdaljah, medtem ko trdna bakrena konstrukcija maksimira zadrževanje teže. Krogla je monolitna in brez svinca.
Kataloška številka :
50167
Spletna cena z DDV: 
3,18 €
Zaloga

Sodobna, zelo učinkovita zasnova, ki vključuje bazo v obliki "boat tail-a" z novo, koničasto konico za ravno trajektorijo in maksimalno zadržano energijo.
Modra plastična konica poveča raztezanje na vseh razdaljah, medtem ko trdna bakrena konstrukcija maksimira zadrževanje teže.
- Pakiranje: 20 kos
- Teža: 165gr/10,7g
- Krogla: TXRG
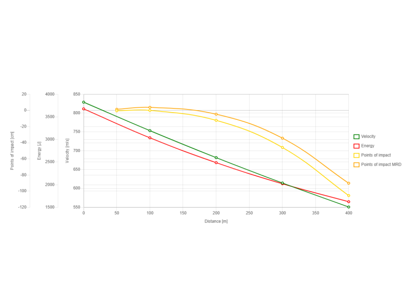
Balistika:
- Razdalja (m):100 200 300 400
- Hitrost (m/s): 829 753 682 614 551
- Energija (J): 3677 3037 2487 2020 1623
- Padec: cm -0,5 0,0 -12,3 -45,9 -105,5
- Padec MRD (169m): cm 1,4 3,8 -4,7 -34,4 -90,2
.png)




















