Naboj S&B 8x57 JS Blue TXRG - 11,7g/180gr
Sodobna, zelo učinkovita zasnova, ki vključuje bazo v obliki "boat tail-a" z novo, koničasto konico za ravno trajektorijo in maksimalno zadržano energijo. Modra plastična konica poveča raztezanje na vseh razdaljah, medtem ko trdna bakrena konstrukcija maksimira zadrževanje teže. Krogla je monolitna in brez svinca.
Kataloška številka :
3807
Spletna cena z DDV:
3,91 €
Zaloga

Sodobna, zelo učinkovita zasnova, ki vključuje bazo v obliki "boat tail-a" z novo, koničasto konico za ravno trajektorijo in maksimalno zadržano energijo. Modra plastična konica poveča raztezanje na vseh razdaljah, medtem ko trdna bakrena konstrukcija maksimira zadrževanje teže. Krogla je monolitna in brez svinca.
- Pakiranje: 20 kos
- Teža: 180gr/11,7g
- Krogla: TXRG
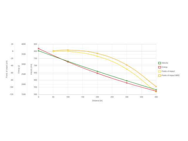
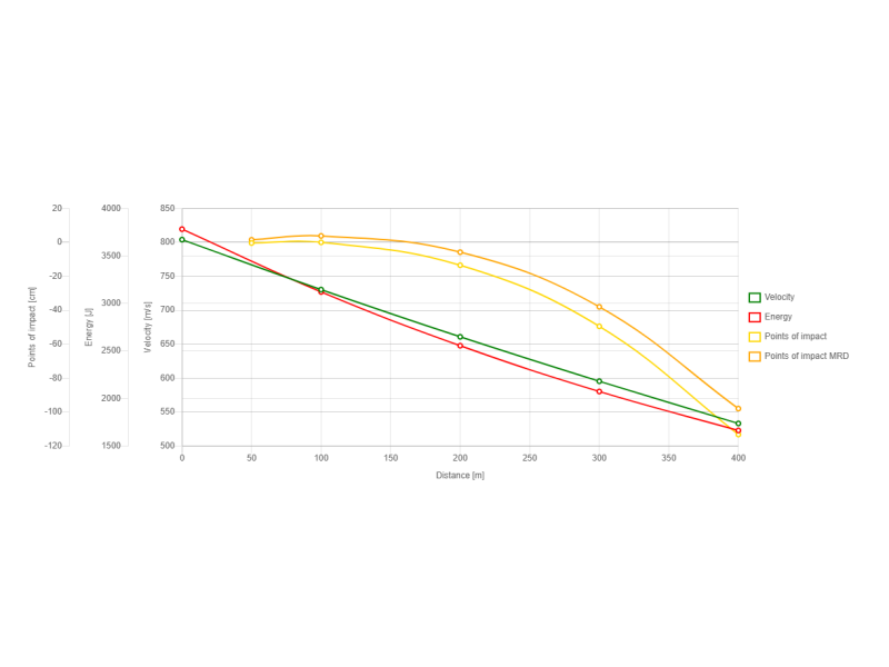
Balistika:
- 100 200 300 400Razdalja (m):
- Hitrost (m/s): 804 730 661 595 533
- Energija (J): 3.782 3.121 2.555 2.073 1.663
- Padec 100m cm: -0,4 0,0 -13,5 -49,5 -113,3
- Padec 164m MRD cm: 1,5 3,8 -5,8 -38,0 -98,0




















